1、納米材料的定義與分類。
最初納米材料是指納米顆粒和由它們構成的納米薄膜和固體。
現在廣義: 納米材料是指在三維空間中至少有一維處在納米尺度范圍,或由他們作為基本單元構成的材料。
如果按維數,納米材料可分為三大類:
零維:指在空間三維尺度均在納米尺度,如:納米顆粒,原子團簇等。
一維:指在空間有兩處處于納米尺度,如:納米絲,納米棒,納米管等。
二維:指在三維空間中有一維處在納米尺度,如:超薄膜,多層膜等。
因為這些單元最具有量子的性質,所以對零維,一維,二維的基本單元,分別又具有量子點,量子線和量子阱之稱。
2、什么是原子團簇及原子團簇有哪些分類?
原子團簇:指幾個至幾百個原子的聚集體(粒徑一般等于或者小于1nm)。
原子團簇的分類:
a.一元原子團簇:即同一種原子形成的團簇,如金屬團簇,碳簇等。
b.二元原子團簇:即有兩種原子構成的團簇,例如ZnnPm,AgnSm等。
c.多元原子團簇:有多種原子構成的團簇,例如 Vn(C6H6)m等。
d.原子簇化合物:是原子團簇與其它分子以配位鍵形成的化合物。(Ag)n(NH3)m。
3、通過Raman 光譜中任何鑒別單壁和多臂碳納米管? 如何計算單壁碳納米管直徑?
利用微束拉曼光譜儀能有效地觀察到單臂納米管特有的譜線,這是鑒定單臂納米管非常靈敏的方法。
100-400cm-1范圍內出現單臂納米管的特征峰,單臂納米管特有的環呼吸振動模式;1609cm-1,這是定向多壁納米管的拉曼特征峰。
單臂管的直徑d與特征拉曼峰的波數成反比,即d = 224/w
d:單壁管的直徑,nm;
w:為特征拉曼峰的波數cm-1
4、碳納米管的生長機理。
碳納米管的生長機理包括V-L-S機理、表面(六元環)生長機理。
(1)V-L-S機理:金屬和碳原子形成液滴合金,當碳原子在液滴中達到飽和后開始析出來形成納米碳管。根據催化劑在反應過程中的位置將其分為頂端生長機理、根部生長機理。
①頂端生長機理:在碳納米管頂部,催化劑微粒沒有被碳覆蓋的的部分,吸附并催化裂解碳氫分子而產生碳原子,碳原子在催化劑表面擴散或穿過催化劑進入碳納米管與催化劑接觸的開口處,實現碳納米管的生長,在碳納米管的生長過程中,催化劑始終在碳納米管的頂端,隨著碳納米管的生長而遷移;
②根部生長機理:碳原子從碳管的底部擴散進入石墨層網絡,擠壓而形成碳納米管,底部生長機理最主要的特征是:碳管一末端與催化劑微粒相連,另一端是不含有金屬微粒的封閉端;
(2)表面(六元環)生長機理:碳原子直接在催化劑的表面生長形成碳管,不形成合金。
表面擴散機理:用苯環坐原料來生長碳納米管,如果苯環進入催化劑內部,會被分解而產生碳氫化合物和氫氣同時副產物的檢測結果為只有氫氣而沒有碳氫化化物。說明苯環沒有進入催化劑液滴內部,而只是在催化劑表面脫氫生長,也符合“帽式”生長機理。
5、氣相和溶液法生長納米線的生長機理。
(1)氣相法反應機理包括:V-L-S機理、V-S機理、碳納米管模板法、金屬原位生長。 ①V-L-S機理:反應物在高溫下蒸發,在溫度降低時與催化劑形成低共熔液滴,小液滴相互聚合形成大液滴,并且共熔體液滴在端部不斷吸收粒子和小的液滴,最后由于微粒的過飽和而凝固形成納米線。
②V-S機理:首先沉底經過處理,在其表面形成許多納米尺度的凹坑蝕丘,這些凹坑蝕丘為納米絲提供了成核位置,并且它的尺寸限定了納米絲的臨界成核直徑,從而使生長的絲為納米級。
③碳納米管模板法:采用碳納米管作為模板,在一定溫度和氣氛下,與氧化物反應,碳納米管一方面提供碳源,同時消耗自身;另一方面提供了納米線生長的場所,同時也限制了生成物的生長方向。
④金屬原位生長:
(2)溶液法反應機理包括溶液液相固相、選擇性吸附。
①S-L-S機理:SLS 法和 VLS 法很相似,二者的主要差別在于 SLS 法納米線成長的 液態團簇來源于溶液相,而 VLS 法則來自蒸氣相。
②選擇性吸附:選擇性吸附配位劑或表面活性劑,并在平行于生長方向的晶面生長。
6、納米顆粒紅外吸收寬化和藍移的原因是什么?
紅外吸收帶的寬化原因:
納米氮化硅、SiC、及Al2O3粉對紅外有一個寬頻帶強吸收譜,這是由于納米粒子大的比表面導致了平均配位數下降,不飽和鍵和懸鍵增多,與常規大塊材料不同,沒有一個單一的,擇優的鍵振動模,而存在一個較寬的鍵振動模的分布,在紅外光場作用下,它們對紅外吸收的頻率也就存在一個較寬的分布。這就導致了納米粒子紅外吸收帶的寬化。 藍移原因:
與大塊材料相比,納米微粒的吸收帶普遍存在“藍移”現象,即吸收帶移向短波長方向。 表面效應:由于納米微粒尺寸小,大的表面張力使晶格畸變,晶格常數變小。 對納米氧化物和氮化物小粒子研究表明:第一近鄰和第二近鄰的距離變短。鍵長的縮短導致納米微粒的鍵本征振動頻率增大,結果使紅外光吸收帶移向了高波數。(化學鍵的振動) 量子尺寸效應:由于顆粒尺寸下降能隙變寬,這就導致光吸收帶移向短波方向。Ball等對這種藍移現象給出了普適性的解釋:已被電子占據分子軌道能級與未被占據分子軌道能級之間的寬度(能隙)隨顆粒直徑減小而增大,這是產生藍移的根本原因。這種解釋對半導體和絕緣體都適應。(電子躍遷)
7、光催化的基本原理以及提高光催化活性的途徑有哪些?
光催化的基本原理:
當半導體納米粒子受到大于禁帶寬度能量的光子照射后,電子從價帶躍遷到導帶,產生電子空穴時,電子具有還原性,空穴具有氧化性。空穴與半導體納米粒子表面OH―反應生成氧化性很高的·OH自由基,這種活潑的·OH自由基可把許多難降解的有機物氧化為CO2和H2O等無機物。
提高光催化活性的途徑:半導體的光催化活性主要取決于:導帶與價帶的氧化―還原電位。價帶的氧化―還原電位越正,導帶的氧化―還原電位越負,則光生電子和空穴的還原及氧化能力越強,光催化的效率就越高。
(1)減小半導體光催化劑的顆粒尺寸,可以提高其催化效率。(a.當半導體粒子d<某一臨界值,量子尺寸效應變的顯著,這時導帶與價帶變成分離能級,能隙變寬,價帶電位變的更正,導帶電位變的更負,這就增加了光生空穴和電子的氧化還原能力。b.光生載流子可通過簡單的擴散,從粒子內部遷移到粒子的表面,而與電子給體或受體發生氧化還原反應,電子從內部擴散到表面的時間越小,光電電荷分離效果就越高,電子和空穴的復合概率就越小,從而導致光催化活性的提高。c.納米半導體的尺寸越小,處于表面的原子越多,比表面積越大,大大增強了半導體催化吸附的能力從而提高了光催化降解有機物的能力。)
(2)通過對納米半導體材料進行敏化,攙雜,表面修飾以及表面沉淀金屬或金屬氧化物等方法,顯著改善光吸收及光催化性能
8、什么是庫侖堵塞效應以及觀察到的條件?
庫侖堵塞效應:由于庫侖堵塞能的存在對一個小體系的充放電過程,電子不能集體傳輸,而是一個一個單電子傳輸,這種現象叫做庫侖堵塞效應。
庫侖堵塞是在極低溫度下觀察到的.
觀察到的條件是:(e2/2C)> kBT
有人曾統計如果量子點的尺寸為nm,可在室溫下觀察到上述效應。量子點是十幾nm。上述效應必須在液氮溫度下。
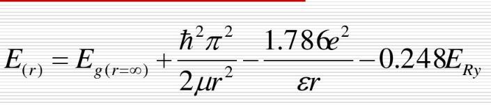
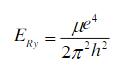
9、半導體納米顆粒的量子限域效應和介電限域效應對其吸收邊、發光峰的影響有哪些?

式中:E(r):納米微粒的吸收帶隙,Eg(r=∞) 為體相的帶隙, r為粒子半徑
μ=[me-1+mh-1]-1為粒子的折合質量,其中me和mh分別為電子和空穴的有效質量
第二項為量子限域能(藍移),第三項為電子-空穴的庫侖作用能(紅移),表明介電限域效應,
第四項為有效里德伯能
由上式可以看出,隨著粒子半徑的減少,量子限域效應為主,其吸收光譜發生藍移;介電限域效應導致介電常數ε增加引起吸收邊藍移,其吸收光譜發生紅移。
10、納米材料中的聲子限域和壓應力如何影響其Raman 光譜?
聲子限域效應加強,使Raman峰向低波方向移動,發生藍移,表面包覆或鑲嵌某物質時,Raman要考慮正壓力的影響,正壓力增加,Raman光譜向高波數方向移動,發生紅移。
11、制備納米材料的氣相法和濕化學法。
(1)高溫氣相法:指直接利用氣體或者通過各種手段將物質變成氣體,在載氣的作用下通過傳輸在反應區冷凝,進一步發生物理化學反應,最后在冷卻過程中凝聚長大形成納米顆粒的方法。
高溫氣相法根據反應原理或裝置特點分類:
①若反應中沒有化學反應:熱蒸發法
②若反應中有化學反應:化學氣相沉積
③若反應中使用金屬氧化物:金屬有機化學沉積
④若反應中有激光激發:激光燒蝕法
⑤若反應能夠控制檢測生長速度:分子束外延技術
(2)濕化學法:有液相參加,通過化學反應來制備材料的方法。
濕化學法根據反應原理或裝置特點分類:
①若為敞開體系:包括一般性溶液反應
②若為密閉體系:水熱、溶劑熱
③有機溶劑參與反應:有機溶劑回流
④膠體化學法:在有機相中反應,反應能溶于有機相形成膠體溶液。
12、什么是納米結構,并舉例說明它們是如何分類的,自組裝納米結構形成的條件是什么?
納米結構:是以納米尺度的物質單元為基礎。按一定規律構筑和營造一種新的體系。它包括一維、二維、三維體系。
分類: 關于納米結構組裝體系的劃分至今沒有一個成熟的看法。根據納米結構體系構筑過程的驅動力是靠外因還是靠內因來劃分,大致可分為兩大類。
(1)人工納米結構組裝體系:按照人類的意志,利用物理和化學的方法人為的將納米尺度的物質單元組裝。排列構成一維、二維和三維的納米結構體系。包括納米有序陣列和介孔復合體系。
(2)納米結構自組裝體系和分子自組裝體系:是指通過弱的和較小方向性的非共價鍵,如氫鍵、范德瓦耳斯鍵、配位鍵和弱的離子鍵協同作用把原子、離子、分子或納米結構單元連接在一起構筑成一個納米結構或納米結構的花樣。
納米結構的自組裝體系的形成有兩個重要的條件:
(1) 有足夠數量非共價鍵或氫鍵存在(因為氫鍵和范德瓦耳斯鍵等非共價鍵很弱(0.1—5kcal /mol)只有足夠量的弱鍵存在,才能通過協同作用構筑成穩定的納米結構體系。
(2) 是自組裝體系能量較低,否則很難形成穩定的自組裝體系。
13、簡單討論納米顆粒的組裝方法
納米顆粒的組裝的基本思路是溶解、揮發、組裝。
溶解:配制成膠體溶液
揮發:自然揮發或者加入使溶質溶解度降低的溶劑,使其從溶液中沉淀出來。
組裝:人工組裝或自組裝
納米團簇的超分子化學組裝方法可分為兩類:
①DNA指導:
②氣泡作模板:
③半導體納米粒子組裝:
④金屬膠體組裝:
⑤膠態晶體法:是利用膠體溶液的自組裝特性使納米團簇組裝成膠態晶體,得到二維或三維的超晶格;
⑥模板法:是利用納米團簇與組裝模板間的識別作用來帶動團簇的組裝,由于選定的組裝模板與納米顆粒之間的識別作用,而使得模板對組裝過程具有指導作用,組裝過程更完善;
14、一維納米結構的組裝方法有哪些,例舉說明2種納米器件的結構。
一維納米結構的組裝:
(1)模板法組裝納米結構:將流體組裝技術與表面模板技術結合在一起成功地將一維納米結構組裝成平行陣列。
(2) 技術表面壓力組裝納米棒陣列:通過表面張力的遞增,使原本無序排列的各向同性的納米棒首先排列成二維向列性排布,繼而排列成二維近晶性的有序結構,多層這種二維結構疊加在一起,最終得到三維排列的有序納米棒的陣列,3D-向列。
(3)電場驅動組裝:采用電場驅動組裝的方法將納米線的組裝與其半導體性質的測量聯系起來。
(4)催化劑的圖案化;通過對催化劑模板化,在有催化劑的地方反應,沒有催化劑的地方不反應,從而制備一定規則的納米結構材料。
(5)其他方法:eg加熱ZnO,In2O3和石墨粉末的混合物在碳襯底或Si襯底上生長分級納米結構;以ZnO,SnO2和石墨粉的混合物在多晶Al2O3襯底上分別得到了ZnO螺旋槳狀納米結構。
2種納米器件的結構:ZnO納米線直流發電機;納米管收音機;納米尺度太陽能電池。
15、“尺寸選擇沉淀法”制備單分散銀納米顆粒的基本原理是什么?
十二烷硫醇包覆的Ag粒子在庚烷中將其分散,這些粒子尺寸分散性比較大,為了降低這種多分散性,需要采用尺寸選擇沉淀法。
具體做法是:
① 包覆型 Ag粒子在己烷中具有高的可溶性,而在吡啶中的可溶性差。先將包覆型 Ag粒子溶解在己烷中。
② 如果將吡啶緩慢加到含有包覆型 Ag粒子的己烷中,則當吡啶達到某一給定體積時,溶液將出現渾濁,并有沉淀出現,這相應于最大粒子的凝聚。這些粒子之間的范得瓦耳斯力比較大,溶液中加吡啶,Ag粒子聚集沉淀。
③ 經離心沉淀分離,將大粒子收集起來,小粒子留在懸浮液中。(離心的轉速要適當)
④最大粒子凝聚體是可逆的。如將這些沉淀物放入己烷中再分散,即可形成均質的清澈透明溶液。將上述溶液滴一滴到TEM的碳柵極上,可得非常完整的組織。(如果將碳柵極浸入溶液3小時,則形成六角密堆積網絡有序結構,這些聚集體的平均尺寸可以從0.03μm2到0.55 μm2。經高倍放大后,可看到,納米粒子有兩種不同的對稱性排列。
16、目前人們已經制備了哪些納米結構單元、復雜的納米結構和納米器件。哪些納米結構應該具有增強物理和化學性能。
納米結構單元:0維: 團簇、納米顆粒、八面體、三角形、多面體等;一維: 納米線、納米棒、納米帶、納米管和納米錐等;二維: 納米片等。
復雜的納米結構:嵌段共聚物有序的自組裝成為超分子納米結構;多層膜;自組裝形成管狀、球狀、層狀和蘑菇狀的結構
納米器件:ZnO納米線直流發電機、光子晶體、納米棒的邏輯敏電路、納米管收音機、納米線染料敏化太陽能電池。
17、單電子晶體管的原理是什么?
晶體管:是一種固體半導體器件,可以用于檢波、整流、放大、開關、穩壓、信號調制和許多其它功能。
單電子晶體管:用一個或者少量電子就能記錄信號的晶體管。
原理:單電子晶體管是依據庫倫堵塞效應和單電子隧道效應的基本原理設計和制造的一種新型的納米結構器件,在兩個電極中間的絕緣層的中間再做一個電極,使之帶半個電荷,兩邊的電極就會感應半個符號相反的電荷,因此可以通過電極Ⅱ上電壓的變化來控制隧穿效應的發生。